Spherical Coordinate System   구 좌표계, 구면 좌표계

(2026-03-22)

1. 구 좌표계/구면 좌표계 (Spherical Coordinate System)  (r,θ,Φ)2차원 극좌표계를 => 3차원으로 확장시켜 일반화시킨 좌표계
     -  r (원점 반경), θ (선택된 축에서 각도), Φ (그 축 둘레의 방위각)

        


2. 직각좌표계와의 관계

  ㅇ  x = r sinθcosΦ, y = r sinθsinΦ, z = r cosθ

  ㅇ  r = √(x2 + y2 + z2), tanΦ = y / x, tanθ = √(x2 + y2) / z

  ※ ☞ 직교 좌표계 변환 (Orthogonal Coordinate System Transformation) 참조


3. 구 좌표계 주요 특징

  ㅇ 미소 선요소  :  {#d\mathbf{r} = dr\mathbf{\hat{r}} + rdθ\mathbf{\hat{θ}} + rsinθdφ\mathbf{\hat{φ}}#}    [m]
  ㅇ 미소 입체각  :  {#dΩ = sinθdθdφ#}    [sr]
  ㅇ 미소 면적소  :  {#dA  = r^2 sinθdθdφ#}    [㎡]
  ㅇ 미소 체적소  :  {#dV = r^2sinθdrdθdφ#}    [㎥]
  ㅇ 구 전체 표면적  :  {#A   = 4πr^2#}    [㎡] 

  ※ ☞ 원통 좌표계 참조


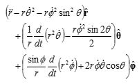
4. 구좌표계에서 시간 미분(속도,가속도)

  ㅇ 1차 시간 미분(속도)   
     

  ㅇ 2차 시간 미분(가속도) 
     

좌표계
1. 좌표계   2. 직교 좌표계   3. 직각 좌표계   4. 극 좌표계   5. 원통 좌표계   6. 구 좌표계   7. 기저벡터 좌표계   8. 경로 좌표계  
용어해설 종합 (단일 페이지 형태)

"본 웹사이트 내 모든 저작물은 원출처를 밝히는 한 자유롭게 사용(상업화포함) 가능합니다"
     [정보통신기술용어해설]