Curl, curl   컬 (회전), 회전 (컬), 회전 연산자, 벡터 회전

(2024-02-07)

벡터의 회전, 회전 , 회전 , 컬 , Rotation Field, 회전장, curl 연산자


1. 컬 (Curl, 회전, ∇×)벡터의 회전 `강도` 및 `방향`을 나타내는 벡터 연산
     - 즉, 단위 면적당 회전하는 (벡터장)의 `최대값` 및 `이 최대값이 나타내는 방향`을 나타냄


2. 컬(회전) 연산의 정의벡터장 F(x,y,z) = P(x,y,z) i + Q(x,y,z) j + R(x,y,z) k 에 대한 컬(회전) 연산은,
     -  curl F = (∂R/∂y - ∂Q/∂y) i + (∂P/∂z - ∂R/∂x) j + (∂Q/∂x - ∂P/∂y) k
               = ∇ × F

       . ∇은 델 연산자로써, ∇  =  (∂/∂x) i + (∂/∂y) j + (∂/∂z) k
       . ×은 외적(Cross Product) 


3. 벡터 회전의 특징

  ㅇ `벡터장 회전(∇×)`은 또다른 벡터장이 됨
     - 벡터의 회전 강도 및 그 방향을 동시에 나타내므로, 컬 연산의 결과는 벡터가 됨
        . 한편, 발산(∇ㆍ)은 퍼져나가는 정도 만을 표현하므로, 연산의 결과가 스칼라가됨

  ㅇ `벡터장 회전의 발산`은 0
     -  ∇·(∇×A) = 0
        . 즉, 회전은 퍼져나갈 수 있는 개념이 아님

  ㅇ `스칼라장 기울기벡터의 회전`은 0
     -  ∇×(∇V) = 0
        . 즉, 소밀의 정도를 나타내는 기울기는 회전의 개념을 낳지 못함


4. 회전장(Rotation Field) 例)

  ㅇ 例) S = -yi + xj
     - |S| = ((-y)2 + (x)2)1/2 = r


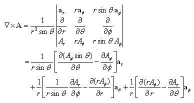
5. 좌표계에 따른 벡터 회전 표현직각좌표계
     원통좌표계
     구좌표계
     


6. [전자기학]  자기장 특성자기장전기장과 달리 전류의 흐름에 수직한 면에서 회전하는 형태임 (오른손법칙)

스칼라장,벡터장 연산
1. 장(Field)   2. 델 연산자   3. 기울기 연산 (grad)   4. 기울기 벡터장   5. 발산 연산 (div)   6. 회전 연산 (curl)   7. 라플라시안 (div grad)   8. 텐서  
용어해설 종합 (단일 페이지 형태)

"본 웹사이트 내 모든 저작물은 원출처를 밝히는 한 자유롭게 사용(상업화포함) 가능합니다"
     [정보통신기술용어해설]