OTDR   Optical Time Domain Reflectometer   시간대역 광반사 측정기, 광펄스 측정기, 광펄스 시험기

(2024-11-27)

OTDR 파형 이벤트


1. OTDR (Optical Time Domain Reflectometer)광선로에 광 펄스(5 ㎱ ~ 10 ㎲)들을 입사시켜, 되돌아온 파형에 대해 시간영역에서 측정
     - 광 선로의 특성,접점 손실,손실 발생 지점,색분산 등을 측정하고 고장점을 찾는 장비

  ※ 1976년경 Barnoski, Jensen에 의해 제안된 방법
     
     - [참고] LD(레이저다이오드), PD(포토다이오드), 광커플러, A/D 변환, 레이더(Radar) 등 참조


2. 주요 측정 가능량스플라이싱, 광커넥터, 밴딩 등 접속부까지의 거리, 손실값

  ㅇ 광섬유 결점의 종류, 위치(거리), 크기 

  ㅇ 광섬유 특성의 균질성 여부 등

  


3. OTDR 파형 이벤트 

  ㅇ Nonreflective 이벤트  : 레일리히 후방산란광(Back Scattering Light)에 의함
     - OTDR 파형펄스반사에 의하지 않는 것
        . 거리에 따른 단순 감쇄 손실
        . 융착접속(Fusion Splicing) 손실
        . 밴딩 손실 등

  ㅇ Reflective 이벤트     : 실제 관심을 갖는 펄스반사에 의한 것
     - OTDR 파형펄스반사에 의한 것
        . 종단되지 않은 광섬유
        . 불균일 직경 정합4. OTDR 주요 성능 지수Dynamic Range
     - 일반적으로, SMF 약 42~45 [dB], MMF 약 25 [dB]

  ㅇ Resolution
     - Event Resolution 
        . Event Dead Zone       : 인접한 두 반사 이벤트 간에 사각지대
        . Attenuation Dead Zone : 큰 반사 펄스의 하강 에지에서 파묻힘에 의한 사각지대
          
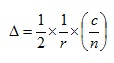
     - Data ResolutionAccuracy5. OTDR 거리 분해능(Range Resolution 또는 Data Resolution)

   

  ㅇ Δ : 거리 분해능 [m]
  ㅇ r  : 광 수신 신호에 대한 샘플링율 [Hz/s]
  ㅇ c  : 진공광 속도 3 x 108 [m/s]
  ㅇ n  : 광섬유 코어 굴절률 (약 1.443)

광 측정기
1. OSA   2. OTDR   3. 광 코아 대조기   4. 광 파워 메타  
OTDR
1. OTDR   2. 후방산란광   3. 데드존  
용어해설 종합 (단일 페이지 형태)

"본 웹사이트 내 모든 저작물은 원출처를 밝히는 한 자유롭게 사용(상업화포함) 가능합니다"
     [정보통신기술용어해설]