1. 철 심 (Iron Core, 鐵心)
  ㅇ 변압기,발전기,전동기 등 전기기기에서, 주로 자속의 통로 역할을 하는 자기회로
      2. 철심의 용도 및 특징
  ㅇ 주요 용도 
     - 양 측 권선 사이에 용이한 자속 결합 등을 위한 통로 역할
  ㅇ 특징
     - (철심 사용 이유)  자속의 통로 역할 및 자속의 강화 등
        . 자속의 통로로써, 공기 보다 고 투자율을 갖는 철심을 통하도록 함
           .. 즉, 자속은 투자율이 높은 자성체(철심) 쪽으로 집중 분포하려고 함
        . 한편, 영구자석으로는 얻을 수 없는 매우 강력한 자기장 형성이 가능
     - (균일 단면적)  자속의 통로가 균일하도록, 일정한 단면적을 갖게 함
     - (공극 고려)  작은 공기 틈이 있더라도 자속의 폐회로(자기회로) 구성을 도모함
        . 이를 공극 이라고 하며, 이곳의 누설 자속 고려가 필수적임
3. 철심을 위한 자기 재료 및 구조 특징
  ㅇ 재료적 특징
     - 철손(철심 내 에너지 손실)을 줄이도록 하기 위해,          ☞ 연 자성재료 참조
        . 투자율 및 포화 자속밀도(자기 포화)를 크게하고, 
           .. 자속 통로 및 자속 강화를 위함
        . 잔류 자속밀도(잔류 자기) 및 보자력은 작게,            ☞ 자기 히스테리시스 참조
           .. 즉응성(동특성)을 좋게 하기 위함
        . 저항률은 크게함
  ㅇ 구조적 특징 : 박판 적층 (薄板積層, Laminated Sheet)
     - 와전류손을 줄이기 위해,
     - 단철괴 보다는 박판 적층 철심을 사용
        . 적층 철심 : 얇은 강판들을 적층(Laminate,겹쳐 쌓음)하고 리벳으로 고정함
           .. 얇은 강판 사이사이가 절연 피막으로 뒤덥혀짐
           .. (절연 바니쉬를 구어 붙이거나, 편면에 절연지를 말아 붙여 절연시킴)
4. 규소 강판(Silicon Steel Plate) 또는 전기 강판(Electrical Sheet, Electrical Steel)
  ㅇ 주강이 주철 보다 자기적 특성이 우수(투자율,저항률이 큼)하여, 크기 및 중량을 적게할 수 있음
     - 주로, 직류기,동기기 등에서 자속을 만들어주는/키우는 계철 부분에 사용됨
  ㅇ 재료
     - 특히, 철손(히스테리시스 손실,와전류 손실)이 적은 규소 강판을 사용    ☞ 연 자성 재료 참조
        . 또한, 기계적 강도가 우수한 저 규소 강(Si 함유율 : 1 ~ 1.4%) 사용
  ㅇ 용도 : 변압기 철심, 전기자 철심, 회전자 철심 등
     - 주로, 자속이 양방향으로 흐르는 교번 자속에 많이 쓰임
  ㅇ 구분
     - (주로, 규소 함유량에 따른 구분)
        . B급 (1.2%,소형 회전기용), C급 (1.6%), D급 (3%,대형 회전기용), T급 (4.3%,변압기용) 등
        . 규소 함유량이 많아질수록, 철손이 적어지나, 투자율 및 재질 강도는 낮아짐
     - (소성 가공 종별에 따른 구분)
        . 열간 압연 규소 강판, 냉간 압연 규소 강대, 방향성 규소 강대
     - (강판의 두께 구분)
        . 0.35, 0.5, 0.7 mm
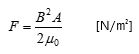
5. 철심 표면에 작용하는 힘
2. 철심의 용도 및 특징
  ㅇ 주요 용도 
     - 양 측 권선 사이에 용이한 자속 결합 등을 위한 통로 역할
  ㅇ 특징
     - (철심 사용 이유)  자속의 통로 역할 및 자속의 강화 등
        . 자속의 통로로써, 공기 보다 고 투자율을 갖는 철심을 통하도록 함
           .. 즉, 자속은 투자율이 높은 자성체(철심) 쪽으로 집중 분포하려고 함
        . 한편, 영구자석으로는 얻을 수 없는 매우 강력한 자기장 형성이 가능
     - (균일 단면적)  자속의 통로가 균일하도록, 일정한 단면적을 갖게 함
     - (공극 고려)  작은 공기 틈이 있더라도 자속의 폐회로(자기회로) 구성을 도모함
        . 이를 공극 이라고 하며, 이곳의 누설 자속 고려가 필수적임
3. 철심을 위한 자기 재료 및 구조 특징
  ㅇ 재료적 특징
     - 철손(철심 내 에너지 손실)을 줄이도록 하기 위해,          ☞ 연 자성재료 참조
        . 투자율 및 포화 자속밀도(자기 포화)를 크게하고, 
           .. 자속 통로 및 자속 강화를 위함
        . 잔류 자속밀도(잔류 자기) 및 보자력은 작게,            ☞ 자기 히스테리시스 참조
           .. 즉응성(동특성)을 좋게 하기 위함
        . 저항률은 크게함
  ㅇ 구조적 특징 : 박판 적층 (薄板積層, Laminated Sheet)
     - 와전류손을 줄이기 위해,
     - 단철괴 보다는 박판 적층 철심을 사용
        . 적층 철심 : 얇은 강판들을 적층(Laminate,겹쳐 쌓음)하고 리벳으로 고정함
           .. 얇은 강판 사이사이가 절연 피막으로 뒤덥혀짐
           .. (절연 바니쉬를 구어 붙이거나, 편면에 절연지를 말아 붙여 절연시킴)
4. 규소 강판(Silicon Steel Plate) 또는 전기 강판(Electrical Sheet, Electrical Steel)
  ㅇ 주강이 주철 보다 자기적 특성이 우수(투자율,저항률이 큼)하여, 크기 및 중량을 적게할 수 있음
     - 주로, 직류기,동기기 등에서 자속을 만들어주는/키우는 계철 부분에 사용됨
  ㅇ 재료
     - 특히, 철손(히스테리시스 손실,와전류 손실)이 적은 규소 강판을 사용    ☞ 연 자성 재료 참조
        . 또한, 기계적 강도가 우수한 저 규소 강(Si 함유율 : 1 ~ 1.4%) 사용
  ㅇ 용도 : 변압기 철심, 전기자 철심, 회전자 철심 등
     - 주로, 자속이 양방향으로 흐르는 교번 자속에 많이 쓰임
  ㅇ 구분
     - (주로, 규소 함유량에 따른 구분)
        . B급 (1.2%,소형 회전기용), C급 (1.6%), D급 (3%,대형 회전기용), T급 (4.3%,변압기용) 등
        . 규소 함유량이 많아질수록, 철손이 적어지나, 투자율 및 재질 강도는 낮아짐
     - (소성 가공 종별에 따른 구분)
        . 열간 압연 규소 강판, 냉간 압연 규소 강대, 방향성 규소 강대
     - (강판의 두께 구분)
        . 0.35, 0.5, 0.7 mm
5. 철심 표면에 작용하는 힘
    ㅇ (B : 자속밀도, A : 자극 면적, μ : 투자율)
  ㅇ (B : 자속밀도, A : 자극 면적, μ : 투자율)