응력 구분, 변형력 구분

(2025-02-26)

수직 응력, 축 응력, 인장 응력, 압축 응력, 공칭 응력, 명목 응력, 공업 응력, 명목 응력, 참 응력, 진 응력


1. 수직,수평 변형력(응력) 구분

  ㅇ 수직 응력 / 법선 응력 (Normal Stres), 축 응력 (Axial Stress)  :  σn
     - 이 면과 수직으로 작용 (압축력, 인장력)  =>  압축 응력 (수축), 인장 응력 (늘이기) 
     - 즉, 수직 응력은, 면적으로 나누어진 수직력(법선력)에 의해 물체에 발생하는 응력(변형력)

  ㅇ 수평 응력 / 접선 응력 (Tangential Stress)  :  σt전단 응력 (Shear Stress)
     - 이 면과 평행하게 작용 (전단력)
     - 즉, 수평 응력은, 면적으로 나누어진 수평력(접선력)에 의해 물체에 발생하는 응력(변형력)

       


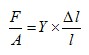
2. 주요 응력 (변형력)별 관련식인장 응력 (변형력, 늘이기, 장력) (Tension, Stretching, Tensile Stress)
       
     -  F/A   :  물체 양끝에서 당겨지는 단위 면적 (장력)
     -  Y     :  탄성률, 영률 (Young's modulus)
     -  Δl/l :  물체 길이의 부분 변화율(변형률)

  ㅇ 압축 응력 (변형력, 압축하기, 압축력, 유체역학변형력) (Compression, Compressive Stress)
       
     -  F/A   :  표면적에 수직으로 작용하는 단위 면적 (압축력)
     -  B     :  부피 탄성률 
     -  ΔV/V :  부피의 부분 변화율 (체적변형률)

  ㅇ 전단 응력 (변형력, 층밀리기, 수평 응력) (Shear)
       
     -  F/A   :  물체의 단면에 평행하게 작용하는 단위 면적
     -  G     :  층밀리기 탄성률
     -  Δx/l :  층밀려지는 부분 변화율(변형률)


3. 인장 시험시, 변형력(응력)의 구분인장 시험(Tensile Test)은,
     - 재료응력 변형률 관계를 이끌어내는, 가장 보편적인(표준적인) 재료 시험 임

  ㅇ 공칭 응력, 명목 응력 (Nomial Stress), 공업 응력 (Engineering Stress), 
     관용적 응력 (Conventional Stress)
     - 통상 많이 사용되는 응력으로써, 달리 언급 없으면 공칭 응력을 그냥 응력으로 봄
     - 원래 초기 단면적에 대한 작용 하중의 比
        . (시험편에 작용하는 축방향 인장력을 그 방향과 직교하는 초기 단면적으로 나눈 값)
     - σ = F / A。
        . (A。: 최초 단면적, F : 평균 일축 인장력)

  ㅇ 진 응력, 참 응력 (True Stress) 
     - 탄성 변형시 단면적 감소 등 변형에 따라,
     - 그때마다 달라지는 단위 면적 당 
     - σt = F / Ai
        . (Ai : 측정하는 시각 마다 달라지는 면적)

  ※ 대부분의 공학적 응용을 위한 인장 시험에서는,
     - 단면적 변화량이 작으므로, A。≒ Ai (공칭 응력) 으로 간주함.
     - 다만, 단면적 변화가 크다면, 진 응력으로 평가하는 것이 더 정확하게 됨

응력
1. 응력   2. 응력 구분   3. 전단 응력   4. 변형률   5. 변형률 구분   6. 변형률 에너지   7. 탄성률   8. 포아송비   9. 응력 집중  
용어해설 종합 (단일 페이지 형태)

"본 웹사이트 내 모든 저작물은 원출처를 밝히는 한 자유롭게 사용(상업화포함) 가능합니다"
     [정보통신기술용어해설]          Copyrightⓒ 차재복