Position Vector Function, Velocity Vector Function, Tangential Vector Function, Acceleration Vector Function   위치 벡터 함수, 속도 벡터 함수

(2025-12-26)

위치 함수, Velocity Vector, 속도 벡터, Tangential Vector, 접선 벡터, Acceleration Vector, 가속도 벡터


1. 위치 벡터 함수 (Position Vector Function)위치 벡터
     - 원점 O에서 점 P에 이르는 벡터

  ㅇ 위치 벡터 함수 (위치 함수)
     - 시간에 따라 위치를 변화시킴으로써, 운동 물체의 경로 표현이 가능한 벡터 함수
        . 위치 함수를 통해, 운동을 일의적이고 완벽하게 기술 가능하게됨
         
[# \mathbf{r}(t) = \overrightarrow{OP} = x(t)\hat{\mathbf{i}} + y(t)\hat{\mathbf{j}} + z(t)\hat{\mathbf{k}} #]
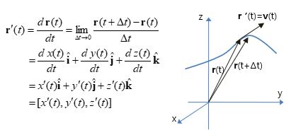
- 이때, 변수가 취하는 범위 . 정의역 : 실수 값(Real Valued) (시간이 취할 수 있는 범위) . 치역 : 벡터 값(Vector Valued) (시간에 따라 변할 수 있는 위치 벡터 범위) 2. 속도 벡터 함수 (Velocity Vector Function) = 접선 벡터 함수 (Tangential Vector Function)위치 벡터의 각 성분별 시간 미분 ㅇ 위에서, - 할선 벡터 (Secant Vector) : r(t+△t) - r(t) - 접선 벡터 (Tangent Vector) : r'(t) = v 즉, 속도 벡터 (Velocity Vector) - 단위 접선 벡터 (Unit Tangent Vector) : T(t) = r'(t)/|r'(t)| = v(t)/|v(t)| ㅇ 매 순간 운동의 진행방향(접선 방향) 및 그 크기를 나타냄 - (t) = '(t) = d/dt . 의 방향 : 운동 방향 (운동 곡선접선 방향) . 의 크기 : 속도 크기 (속력) 3. 가속도 벡터 함수 (Acceleration Vector Function)속도 벡터시간 미분
[# \mathbf{a}(t) = \mathbf{v}'(t) = \frac{d\mathbf{v}(t)}{dt} = \frac{d^2x(t)}{dt^2}\hat{\mathbf{i}} + \frac{d^2y(t)}{dt^2}\hat{\mathbf{j}} + \frac{d^2z(t)}{dt^2}\hat{\mathbf{k}} #]
직선곡선 상의 가속도 비교 - 직선 경로의 가속도 벡터는, `접선 가속도` 뿐 임 - 곡선 경로의 가속도 벡터는, 두 성분으로 분해 가능 . 즉, `접선 방향(접선 가속도)` 및 `법선 방향(법선 가속도)`으로 분해 가능 ㅇ 곡선 운동에서 가속도 성분별 특징 - 접선 가속도는, 속도 벡터의 크기 만을 변화시킴 . 즉, 속도 크기의 시간변화율 - 법선 가속도는, 운동 방향 만을 변화시킴 . 즉, 속도 방향의 시간변화율

벡터해석학
1. 벡터 해석학   2. 벡터 함수   3. 벡터 함수 미분   4. 위치/속도/가속도 벡터   5. 원운동 벡터 표현   6. 주요 벡터공식   7.
스칼라장,벡터장 연산
  8.
적분 정리
 

용어해설 종합 (단일 페이지 형태)

"본 웹사이트 내 모든 저작물은 원출처를 밝히는 한 자유롭게 사용(상업화포함) 가능합니다"
     [정보통신기술용어해설]