Time Varying Channel, Time Varient Channel, Linear Time Varying Channel   시변 채널, 선형 시변 채널

(2023-11-28)

CIR, Channel Impulse Response, 채널 임펄스 응답


1. 시변 채널 (Time-varying Channel)

  ㅇ 유선 통신은 정적인 채널을 갖으나, 무선 통신시변 채널 임
     - 시변채널은 이동 무선통신 환경(Mobile Channel)의 주요 특징 임
        . 주위 환경의 시간적 변화
        . 다중 경로 페이딩
        . 단말의 이동(도플러 효과) 등

  ㅇ 시변 물리 채널 例)
     - 전리층 라디오 채널(50~400 km, 단파대 이하), 셀룰러 이동통신, 
       얕은 수중 음향 통신(해수면,해저면에 의한 다중 반사) 등


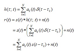
2. 선형 시변 채널 모델 / 시변 채널 임펄스 응답(CIR,Channel Impulse Response) 모형 시간에 따라 변화하는 채널 임펄스응답(CIR) h(τ; t)을 갖는다고 모델
 
     - r(t) : 수신 신호 (송신 신호와 채널 임펄스응답과의 콘볼루션)
     -  h(τ; t) : 시간 t-τ에 인가된 임펄스에 의한 시간 t에서의 채널 임펄스응답(CIR)
     -  H(f; t)  : 시변 채널 주파수응답
        . 이는 채널 임펄스응답(CIR)인 h(τ; t)의 푸리에변환 임
     -  τ : 시간 t에 대한 경과된 시간(지연 시간)


3. 선형 시변 다중경로 채널(Linear Time-varient Multipath Channel)의 응답 신호의 묘사

  ㅇ 많은 다중경로에서 서로 다른 지연으로 서로 달라지는 응답 특성 때문에,
     - 이를 결정론적으로 특성화하기에는 너무 어려워서, 통계적으로 기술할 필요가 있음

     

     - N : 다중경로 갯수
     - {ak} : 시변 감쇠(이득) 요소
     - τk : 지연 요소

     


4. [참고사항]

  ㅇ 적응적(Adaptive) 기술
     - 적응적(Adaptive) 기술은 대부분 시변채널과 관련됨

  ㅇ 산란체 (Scatterer)
     - 무선 전파 환경에서 시시각각 변하는 장애물에 의한 반사,회절,산란 등을 총칭
        . 각 장애물(건물,언덕 등)에 의해 여러 다른 경로(Multipath)로 전파됨
        . 따라서, 여러 다른 시간변이(Time Shift,Time Delay) 유발
        . 결국, 물리적으로 분산성 매질이 아니더라도, 마치 분산성 매질 처럼 펄스 퍼짐 발생

통신(기초/일반)
1. 통신 채널   2. 시변 채널   3. 대역 제한   4. 테스트 톤  
용어해설 종합 (단일 페이지 형태)

"본 웹사이트 내 모든 저작물은 원출처를 밝히는 한 자유롭게 사용(상업화포함) 가능합니다"
     [정보통신기술용어해설]