Bohr Model, Bohr Theory   보어 모델, 보어 원자 모형, Bohr 원자모형, 보어 이론

(2022-01-02)

보어 원자 모델, Bohr Radius, 보어 반경


1. 보어(Neils Bohr,1885~1962)의 원자 모델(1913년)원자의 일반적 거동을 설명하고 이해하는 기초적인 모델
     - 원자의 기본구조를 설명하는데 가장 많이 이용됨
        . 전자는 불연속적인 에너지로 다수의 궤도를 따라 움직이며, 
        . 궤도 간에 천이할 때 만, 그 차이 만큼 복사 에너지를 흡수 또는 방출한다고 가정함

  ㅇ 기존의 레더퍼드 원자모델에 약자역학적 개념을 도입
     - (레더퍼드 원자모델 : 전자원자핵 주위를 마치 태양계 행성처럼 원궤도 운동을 한다고함)


2. 보어의 가정 및 그 결과양자화궤도
     - 어떤 거리에서도 존재할 수 있는 행성궤도와는 달리, 
       전자원자 핵으로부터 특정하게 고정된 위치에서만 존재
        . 이를 `보어의 궤도`라고 함
     - 보어 궤도에너지가 고정되어 있음 즉, 양자화되어 있음
        . 보어는 이 상태를 `정상 상태`라고 부름

  ㅇ 궤도 이동 시에 만 복사선의 방출/흡수을 함
     - 정상상태 하에서 핵을 돌고있는 전자에서는, 어떤 복사선도 나오지 않는다고 제안함
     - 단지, 정상상태에서 다른 정상상태로 천이할 때 만 복사선을 방출 또는 흡수함


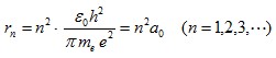
3. `보어 반경 (Bohr Radius)`의 계산수소원자 내 전자바닥상태에 해당 (n=1일 때의 반지름)
       

  ㅇ 한편, 일반적으로,
       

  ※ 이처럼 전자가 일정 궤도를 돈다는 보어 모델은 실제 실험과 다름
     - 이에따라 전자파동성(물질파가정)이라는 양자역학적 개념을 낳게 됨

원자 모델
1. 원자 모델   2. 보어 모델  
용어해설 종합 (단일 페이지 형태)

"본 웹사이트 내 모든 저작물은 원출처를 밝히는 한 자유롭게 사용(상업화포함) 가능합니다"
     [정보통신기술용어해설]          Copyrightⓒ 차재복