Log Normal Distribution   로그 정규분포, 로그 노말 분포, 대수 정규분포

(2025-10-21)

1. 로그 정규분포 (LN, Log Normal Distribution)

  ㅇ 로그 정규분포(LN)를 갖는 확률변수(X)에 로그를 취한 확률변수(Y = In(X))가 정규분포(N)를 따름
     - 즉, Y = In(X) ~ N( In(x); μYY )

  ㅇ 또는, 정규분포 확률변수(Y)에 지수를 취한 확률변수(X = eY)가 로그 정규분포(LN)를 따름
     - 즉, X = eY ~ LN( x; μXX )

  ※ [참고] 지수함수,로그함수는 서로 역함수 관계에 있음


2. 로그 정규분포 형태

     

  ㅇ 중심 그 자체에는 분포 없고, 중심 부근에서 큰 분포를 갖으며,
     - 중심에서 멀어질수록, 점진적으로 감소하는 긴꼬리 형태의 분포

  ㅇ 즉, 점진적으로 감소하는 긴 우측꼬리를 갖는 확률분포 형태
     - 큰 값들이 왼쪽에 많아 약간 왼쪽으로 기울어진(Skewed,왜도를 갖는) 확률분포
 
  ㅇ 특히, 
     - 확률변수 X = eY는 비대칭적 확률분포이나, 
     - 확률변수 Y = ln(X)는 대칭적 정규분포를 따름
     * 로그 정규분포정규분포로부터 유도될 수 있음


3. 로그 정규분포 특징

  ㅇ 표기 :  X ~ LN(μXX)  
     - 단, X = eY, Y ~ N(μYY) 

  ㅇ 확률밀도함수(PDF)
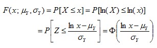
      누적분포함수(CDF)
      기대값(Expected Value)
      분산(Variance)
      백분위수
     - 100(1-α)% 백분위수 : xα
        

정규분포
1. 정규분포   2. 로그 정규분포   3. 이변량 정규분포   4.
표준 정규분포
 

페이딩 확률해석
1. 로그 정규 확률분포   2. 레일레이 페이딩   3. 레일레이 확률분포   4. 라이시안 확률분포  
용어해설 종합 (단일 페이지 형태)

"본 웹사이트 내 모든 저작물은 원출처를 밝히는 한 자유롭게 사용(상업화포함) 가능합니다"
     [정보통신기술용어해설]