Reflectivity, Reflectance, Reflection Ratio, Transmittivity, Transmittance   반사율, 반사도, 투과율, 투과도, 투광도

(2026-01-11)

Spectral Reflectance, 분광 반사율, Spectral Transmittance, 분광 투과율


1. 입사,반사,투과 세기의 比 (전력 比)반사율 (Reflectivity, Reflectnace)  :  R
     - 입사 빔 세기에 대한 반사 빔 세기의 비(比) 
        . 즉, 입사파반사파 전력 比 (= 에너지 전달률 比 = 복사선속 比)       ☞ 파동 세기 참조

     * 때로는, 반사율(도)를 반사손실 (Reflection Loss)이라고도 불리움
     * 또한, 알베도 (Albedo, 라틴어 : 백색도 (whiteness) 라고도 함
        . 주로, 천체 표면반사율에 대해 쓰여짐
        . 무 단위 값 : 0 ~ 1 
           .. 0 : 입사한 복사 조도의 완벽한 흡수 (black body)
           .. 1 : 입사한 복사 조도의 완벽한 반사 (white body)

  ㅇ 투과율 (Transmittivity, Transmittance)  :  T
     - 입사 빔 세기에 대한 투과 빔 세기의 비(比)
        . 즉, 입사파투과파 전력 比 (= 에너지 전달률 比 = 복사선속 比)       ☞ 파동 세기 참조
     -  
[# T = \frac{I_t}{I_i} #]
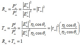
. Ii : 입사 세기 또는 입사된 광량 [lm] 또는 복사선속 [W] . It : 투과 세기 또는 투과된 광량 [lm] 또는 복사선속 [W] * [참고] . 흡광율 : {# A = I_i/I_t #} . Beer Lambert 법칙 : 광 흡수량(흡광율)이 시료 용액농도에 비례한다는 법칙 ※ 한편, - `파동 전력 비(比)`가 아니고 `파동 성분 파형진폭 비(比)`는, ☞ 반사계수,투과계수 참조 ㅇ 분광 반사율(Spectral Reflectance), 분광 투과율(Spectral Transmittance) - 파장별로 달라지는 입사파,반사파,투과파의 빔 세기의 比를 말함 2. 반사율,투과율 표현 식 ㅇ 수직 입사시 - R = ( (n1-n2)/(n1+n2) )2 = ( (1-n)/(1+n) )2 = |Γ|2 - T = 1 - R . n = n2/n1 : 상대 굴절률, Γ : 반사계수, R : 반사율, T : 투과율 ㅇ 경사 입사시 - 수직편광 - 수평편광 3. 매질 경계면에서 보존법칙흡수율 미고려 - R (반사율, Reflectivity) + T (투과율, Transmittivity) = 1 ㅇ 흡수율 고려 - R (반사율, Reflectivity) + A (흡수율, Absorptivity) + T (투과율, Transmittivity) = 1 ※ 반사율 및 흡수율매질의 종류 및 파장에 의존적임 - 불투명 매질 (T = 0) . R + A = 1 - 이상적인 완전 흡수체 (흑체) . A = 1, R = T = 0 - 완전 반사 . R = 1, A = T = 0 4. [색채학] 분광 반사곡선, 분광 투과율 곡선 분광 반사곡선 (Spectral Reflectance Curve) - 물체에서 반사되어 나온 (번사파)의 파장반사파 세기 분포를 그린 곡선물체색분광 곡선 - 물체색은, 조명(광원)의 `분광 복사율 곡선`과 물체의 `분광 투과율 곡선` 및 `분광 반사곡선`과 밀접한 관계가 있으며, - 또한, 관찰자의 시각적 특성에도 영향을 받게됨 ㅇ 한편, - `조명(광원)`, `물체`, `관찰자`를 색의 3 요소라고 함

평면파 반사,투과
1. 반사율   2. 정재파   3. 프레넬 방정식   4. 스넬의 법칙   5. 브루스터 각   6. 수직 편광, 수평 편광   7. 반사 계수  
투과
1. 투과   2. 투과율, 투과도   3. 투과계수   4. 투과 전자 현미경 (TEM)  
용어해설 종합 (단일 페이지 형태)

"본 웹사이트 내 모든 저작물은 원출처를 밝히는 한 자유롭게 사용(상업화포함) 가능합니다"
     [정보통신기술용어해설]