Partial Differential, Partial Derivative   편 미분, 편 도함수

(2024-11-18)

1. 편 미분(Partial Differential), 편 도함수(Partial Derivative)

  ㅇ 2 이상의 독립변수를 갖는 함수에 대해, 개개 변수미분
     - 해당 변수 이외 나머지 변수들을 상수로 간주하여 미분2. 편 미분의 표현식이변수 함수 z = f(x,y)의 x에 대한 편 도함수 
     - 곡면 상에서 x 방향의 기울기
         이변수 함수 z = f(x,y)의 y에 대한 편 도함수 
     - 곡면 상에서 y 방향의 기울기
         

  ※ (위에서, `∂`는 `라운드`라고 읽음)


3. 편 미분(편 도함수)의 여러 다른 표기

  ㅇ 1계 편 미분(편 도함수)
      

  ㅇ 2계 편 미분(편 도함수)
      

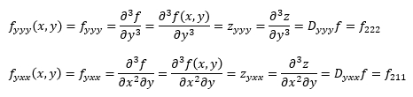
  ㅇ 3계 편 미분(편 도함수)
      


4. 편 미분(편 도함수)의 활용접선을 그리어 기울기가 0 인 극대점,극소점의 위치를 찾을 때 등에 유용

다변수함수 미분
1. 전 미분   2. 편 미분   3. 방향 도함수   4. 등위 선/면  
용어해설 종합 (단일 페이지 형태)

"본 웹사이트 내 모든 저작물은 원출처를 밝히는 한 자유롭게 사용(상업화포함) 가능합니다"
     [정보통신기술용어해설]



Notice: Undefined index: HTTP_REFERER in C:\htdocs\cjb\stat_utils.php on line 17