MTTF, MTBF, MTTR   Mean Time To Failure, Mean Time Between Failures, Mean Time to Repair   평균 수명, 고장평균시간, 평균고장간격, 평균수리시간, 평균수리복구시간

(2024-07-31)

1. 평균 수명 (Mean Life) 확률적으로 관찰된 평균 고장 시간신뢰성,유지보수성을 평가하는 지표들의 例) 

     - 수리 불가능계 =>  MTTF (Mean Time To Failure, 평균 고장 시간)
        . 고장나기까지의 시간들의 평균

     - 수리 가능계   =>  MTBF, MTTR
        . MTBF (Mean Time Between Failures, 평균 고장 간격)
           .. 고장고장 사이의 평균 시간
        . MTTR (Mean Time to Repair, 평균 수리 시간)
           .. 고장난 후 이를 수리하는 데 걸리는 평균 시간


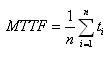
2. 수리 불가능계  :  MTTF (Mean Time To Failure, 고장 평균 시간)고장나기까지의 시간들의 평균
     - 주어진 시간 동안, 각 제품들 마다의 작동(운용) 시간을 합산하고, 
     - 이 총 작동(운용) 시간고장 발생 횟수로 나눈 것

  ㅇ (이산 확률)
     -  MTTF = (각 제품의 운용시간의 합) / (고장난 제품의 수) = (t1+t2+...+tn) / n
             = (즉, 제품들의 고장나기까지의 시간들의 평균)
       

  ㅇ (연속 확률)
     


3. 수리 가능계    :  MTBF (Mean Time Between Failures, 평균 고장 간격)고장들 사이 간격 시간들의 평균
     - 고장 복구부터 다음 고장 시점까지, 평균연속 가동시간(무고장 동작시간, 평균 작동시간)
     - 고장과 고장 사이의 평균 시간

  ㅇ  MTBF = (전 개소의 사용시간 총합) / (총 고장개수) 
           = (가동 시간) / (고장 횟수)


4. 수리 가능계    :  MTTR (Mean Time to Repair, 평균 수리 시간)보전성의 척도로써, 고장난 후 이를 수리하는 데 걸리는 평균 시간
     - 즉, 시스템을 정상 운용상태로 돌려 놓기위해(수리복구등), 
     - 시스템이 자동 복구하는 또는 유지보수 요원이 소비하는 평균시간
        . 출장에 소요되는 시간, 진단시간, 수리 및 교체시간, 재시동시간을 모두 포함


5. 수리 가능계의 가용도 산출공식가용도 = 시스템이 정상 작동 가능한 비율 = (실질 가동 시간) / (총 운용 시간)
            = MTBF / ( MTBF + MTTR ) 
            = (평균 고장 간격) / (평균 고장 간격 + 평균 수리 시간)

  ※ 例) 고도의 안정성을 필요로하는 PSTN 교환기가용도는,
       . 일명 five-nines라고 하는  99.999% 
       . 이는 일년에 약 5초 정도 의 고장 시간을 의미
          .. 가용도 = (실질 가동 시간) / (총 운용 시간) = (1년 - 5초)/(1년 + 5초) x 100 
                    = (31,536,000 - 5)/(31,536,000 + 5) x 100 ≒ 99.999 %

신뢰성 척도
1. 신뢰도   2. 고장률   3. 가용도   4. 평균 수명   5. 고장률 모형  
용어해설 종합 (단일 페이지 형태)

"본 웹사이트 내 모든 저작물은 원출처를 밝히는 한 자유롭게 사용(상업화포함) 가능합니다"
     [정보통신기술용어해설]



Notice: Undefined index: HTTP_REFERER in C:\htdocs\cjb\stat_utils.php on line 17