Differentiable   미분 가능

(2021-04-14)

1. 미분 가능 (differentiable)

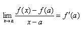
  ㅇ 점에서의 미분 가능
     - 어떤 점 a에서의 순간변화율극한(limit)이 존재하면,
         
     - 함수 f는 점 x=a에서 미분가능하다고 함
        . ("f is differential at a")

  ㅇ 구간에서의 미분 가능
     - 구간 I에 있는 모든 점에서 미분가능하면, 
     - 함수 f는 구간 I에서 미분가능하다고 함

  ㅇ 한편, `미분가능` = `테일러 급수로 전개 가능`

미분
1. 미분   2. 해석적   3. 미분가능   4. 기울기   5. 변화율 (평균, 순간)   6. 미분 계수   7. 도함수   8.
미분 공식/정리/법칙
  9.
다변수함수 미분
 

용어해설 종합 (단일 페이지 형태)

"본 웹사이트 내 모든 저작물은 원출처를 밝히는 한 자유롭게 사용(상업화포함) 가능합니다"
     [정보통신기술용어해설]          Copyrightⓒ 차재복