Quarter Wave Transformer, Quarter Wavelength Impedance Transformer   λ/4 변환기, λ/4 임피던스 변환기, 1/4 파장 변환기

(2015-10-22)

1. λ/4 임피던스 변환기 (Quarter Wavelength Impedance Transformer)

  전송선로 입력 임피던스
     임피던스 정합 조건
     
     - 이때, 반사계수 Γ= 0, 전압 정재파비 VSWR = 1
        . 따라서, 정재파가 λ/4 구간에 존재하지 않게됨

     - 특정 주파수에서 만 정합이 이루어짐
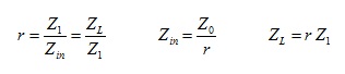
       임피던스 변환 비 (Impedance Transformation Ratio)
     


2. λ/4 임피던스 변환기 특징

  ㅇ 실수로된 부하 임피던스임피던스 정합이 가능

임피던스 변환/정합
1. 임피던스 변환   2. 임피던스 정합   3. 임피던스 정합회로   4. 임피던스 스케일링   5. λ/4 변환기  
용어해설 종합 (단일 페이지 형태)

"본 웹사이트 내 모든 저작물은 원출처를 밝히는 한 자유롭게 사용(상업화포함) 가능합니다"
     [정보통신기술용어해설]