Frequency Domain   주파수 영역, 주파수 도메인

(2024-07-01)

Frequency Domain Transformation, 주파수 영역 변환, Integral Transform, 적분 변환


1. 여러 `변환 영역(Transformation Domain)`별 의미시간 영역  :  신호시간에 의해 다루는 통상적인 표현 영역
  ㅇ 공간 영역  :  영상화소를 직접 공간 좌표로 다루는 표현 영역
     - [참고]  영상처리인 경우  ☞ 영상 변환 (영상의 개선,압축 등) 참조
  ㅇ 주파수 영역 (Frequency Domain)
     - 신호에 포함된 주파수 성분별로 (진폭,위상)에 의해 다루어지는 변환영역
     - [참고]  한편, 보다 확장된 주파수 영역 표현으로는, ☞ 복소주파수영역 참조

  ※ 변환 영역 사용 이유  :  표현 방식을 바꾸어 취급 용이성을 추구 함


2. 주파수 영역 변환 이란?

  ㅇ 주로, 해석의 용이성을 추구하는 변환
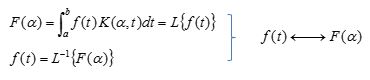
     - 때론, 적분 변환(Integral Transform) 이라고도 함
        . 적분에 의해 서로 연관된 한 쌍의 함수들이 서로 변환 관계를 갖으므로 붙여진 명칭
            
           .. 함수 K(α,t) : 핵함수(Kernel)
           .. 함수 F(α)   : 핵함수 K(α,t)에 대한 함수 f(t)의 적분 변환
        . 적분 변환의 특징 : 선형성선형 연산자, 선형 변환 참조

  ㅇ 특히, 시간 영역에서 신호의 표현/해석을 주파수 영역으로 바꾸어서 쉽게 표현/해석이 가능
     - 시간영역에서 파악하기 어려운 특성들을,
        . 주파수영역에서 쉽게 볼 수 있으므로,
     - 신호시스템(특히, LTI시스템) 분석 및 취급이 용이해짐

     * 주파수 영역 변환 例)  푸리에 변환, 라플라스 변환, z 변환, 페이저 변환 등

  ※ 신호처리 분야에서,
     - 시간영역변환영역(주로,주파수영역) 간의 관계에 대해,
     - 그 이해가 매우 중요함                    ☞ 주파수영역변환,복소주파수,시스템응답 등 참조


3. 주파수영역으로의 변환 해석                     ☞ 변환(Transformation) 참조

  ※ 모든 신호 및 시스템/회로 표현을,
     - 시간영역이 아닌 주파수영역 상에서 변환 표현하여,
     - 시스템 방정식 또는 회로 방정식을 세우고 풀고, 그 응답 특성을 살피는 과정

     * 주로, LTI 시스템 해석에 많이 사용됨

  ㅇ (구분)  주파수영역 해석을 위한 변환 도구에 따른 구분
     - 페이저에 의한 해석 또는 교류 해석
        . 시간 주파수 관련 항은 빠지고, 진폭위상 만으로 표현하고 해석하는 방법
     - 복소 주파수에 의한 해석
        . 라플라스변환(s=σ+jω), z 변환(z=eσ+jω=r e)에 의한 해석 방법
     - 주파수 스펙트럼에 의한 해석
        . 푸리에변환(jω)에 의한 해석 방법

  ㅇ (구분)  연속시간 또는 이산시간에 따른 변환 도구 구분
     - 연속시간 신호/시스템 해석 도구
        . CTFT 변환, 라플라스 변환
     - 이산시간 신호/시스템 해석 도구
        . DTFT 변환, z 변환


4. 주파수영역(정현파 주파수성분별) 상에 선 스펙트럼 표현 例

   


5. 간단한 정현파적 신호들의 선형결합에 의한 주파수 변환 영역 표현 푸리에 변환 이론 
     - 대부분의 신호정현파 신호선형결합(합 또는 적분)으로 표현 가능
        . 신호주파수 성분들로(주파수의 함수로) 나타낼 수 있음

  ㅇ 주파수영역에서 신호 표현                                     ☞ 푸리에 표현 참조
     - 주기신호주파수영역 표현 : 푸리에급수 전개에 의해 선 스펙트럼으로 표현
        . 연속시간 주기신호   => CTFS (연속시간 푸리에급수)
        . 이산시간 주기신호   => DTFS (이산시간 푸리에급수)
     - 비주기신호의 주파수영역 표현 : 푸리에변환에 의해 연속 스펙트럼으로 표현 
        . 연속시간 비주기신호 => CTFT (연속시간 푸리에 변환)
        . 이산시간 비주기신호 => DTFT (이산시간 푸리에 변환)

     * [참고] ☞ 푸리에변환의 시간 및 주파수 관계 참조

  ㅇ 주파수영역에서 시스템응답 표현
     - 주파수응답 (또는 전달함수)로 표현 가능

변환 해석
1. 변환 이란?   2. 주파수 영역   3. 복소 주파수 영역   4.
변환 종류
  5.
라플라스 변환
  6.
푸리에 변환
 

용어해설 종합 (단일 페이지 형태)

"본 웹사이트 내 모든 저작물은 원출처를 밝히는 한 자유롭게 사용(상업화포함) 가능합니다"
     [정보통신기술용어해설]          최근 편집          Copyrightⓒ 차재복