Coding Rate, Code Rate   부호화 율, 부호 율, 채널 부호화 율, 코딩 률, 코딩 율, 코드 율

(2024-05-04)

Entropy Rate, 엔트로피 율


1. 부호화율 (Coding Rate) 이란?부호화시 실제 정보 비트가 얼만큼인가 하는 정도를 나타냄
     -   R  =  ( 실제 정보 비트 길이 ) ÷ ( 부호화부호어 길이 )  =  k / n 
        . `부호화디지털 심볼 비트 수 n` 당 `정보 비트 수 k` : (실제 정보 비트가 포함된 비율)

  ㅇ (부호화율 의미)
     - 부호화비트 효율성
     - 원래 정보 비트가 포함되는 정도
     - 부호화심볼 당 운반가능한 평균 정보량부호화율, 엔트로피율 간의 비교
     - 부호화율과 엔트로피율 모두 데이터효율성 정도를 측정하는 데 사용되나,
        . 부호화율은, 부호화데이터의 크기를 원본 데이터의 크기와 비교하여 효율성을 평가하고,
        . 엔트로피율은, 데이터평균적인 정보량으로, 주로 데이터의 복잡성,예측불가능성을 평가함
           .. [참고] ☞ 엔트로피 (Entropy) : 정보원의 평균 정보량 (평균적 불확실량)


2. [블록 부호]  부호율 (Coding Rate)블록 부호의 일반적 구성 
     -  고정 길이를 갖는 정보 비트패리티 비트로 구성

  ㅇ (n,k) 블록 부호 내 인자(index) 설명
     -  n : 부호어 비트 길이, k : 정보 비트 길이, n-k : 패리티 비트 길이

  ㅇ (n,k) 블록 부호일 때의 부호율 R 
     -  R =  k / n  =  (입력비트)/(출력비트) =  (정보비트)/(정보비트+패리티비트)
                    =  (정보비트)/(부호어비트)

     -  부호율 값범위 : 0 < R < 1

  ㅇ 한편, 용장율,여유율(Redundancy)과의 관계는,
     -  (n,k) 블록 부호일 때 용장율은 부호율의 역수 
        .   Redundancy = 1 / R = n / k 


3. [길쌈 부호]  부호율 (Coding Rate)부호화율  R
     - R = k / n   
        . k : 원래 정보(메세지) 비트 열 길이 (입력)
        . n : 부호화된 비트 열 길이 (출력)

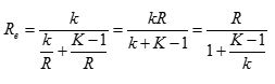
  ㅇ 유효 부호화율  Re 
     - 
        . (n,k,L) 길쌈 부호화기에서 
           .. K : 구속장 (K = L + 1)
           .. L : 상태 수, 이동 레지스터 메모리(기억성) 길이, 기억 크기

     * [유의점]  길쌈 부호에서의 유효 부호율은, 원래 메세지 길이 k에 의해서도 부호율이 달라짐


4. 부호화 성능 및 대역폭과의 관계채널부호화에 의한 성능 개선은, 
     - 부호화율의 역수인 그만큼의 대역폭 확장이 필요하게 되는 상충적 관계 임

부호화 주요 척도
1. 부호화율   2. 압축률   3. 비트 오율   4. 부호화 이득  
코드 용어
1. 코드 용어   2. (소스/코드) 알파벳   3. 코드 확장   4. 전치 코드   5. 동시 코드   6. 결정 트리   7. 크라프트 부등식   8. 코드 길이   9. 코드 북   10. 가변 길이 코드   11. 유효 부호어   12. 부호화율   13. 등가 부호  
블록부호(선형부호) 용어
1. 블록 부호 용어   2. 리던던시   3. 패리티 부호   4. 부호율   5. 완전 부호   6. 오류 패턴   7. 표준 배열   8. 체계적 블록부호  
용어해설 종합 (단일 페이지 형태)

"본 웹사이트 내 모든 저작물은 원출처를 밝히는 한 자유롭게 사용(상업화포함) 가능합니다"
     [정보통신기술용어해설]